La plus belle formule ?
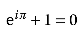
L'identité d'Euler est considérée par certains comme la plus belle formule mathématique qui existe. Elle réunit les cinq constantes mathématiques 0, 1, e, i et π en une seule égalité.

Courses Aux Nombres 2024 Voir la rubrique
Arrow upL'identité d'Euler est considérée par certains comme la plus belle formule mathématique qui existe. Elle réunit les cinq constantes mathématiques 0, 1, e, i et π en une seule égalité.

Nous avons 178 invités et aucun membre en ligne